mahalanobis
首发版本:3.00.3.5
语法
mahalanobis(X, Y, Z)
详情
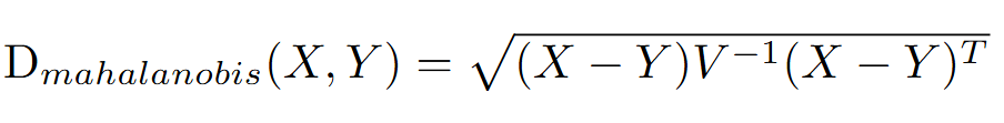
计算两个一维数值向量(X 和 Y)之间的马氏距离,公式定义如下:
其中,V 是协方差矩阵,参数 Z 是 V 的逆。
参数
X 一维数值向量。
Y 一维数值向量。
Z 协方差矩阵的逆。
返回值
DOUBLE 类型标量。
例子
len = 50
X = array(DOUBLE, 0).append!(take([1.2, 3.9, 0.8], len))
Y = array(DOUBLE, 0).append!(take([5.6, 0.4, 2.7], len))
Z1 = diag(take(1, len))
Z = inverse(Z1)
mahalanobis(X, Y, Z)
//输出:24.395286429964294
