ema
语法
ema(X, window, warmup=false)
TA-lib 系列函数参数说明和窗口计算规则请参考:TA-lib 系列
参数
warmup 布尔值,默认为 false,即计算结果的前 window-1 个元素为空值。若为 true,则结果的前 window-1 元素将由详情给出的公式计算得出。
详情
在给定长度(以元素个数衡量)的滑动窗口内,计算 X 的指数移动平均(Exponential Moving Average)。
其计算公式为:
-
warmup=false:

-
warmup=true:

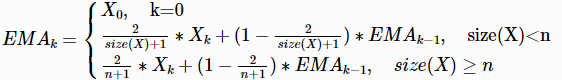
其中:EMAk 为第 k 个指数移动平均值,n 为移动窗口长度,Xk 为向量 X 中第 k 个元素。
例子
x=12.1 12.2 12.6 12.8 11.9 11.6 11.2
ema(x,3);
// output
[,,12.3,12.55,12.225,11.9125,11.55625]
ema(x,3, warmup=true)
// output
[12.1,12.2,12.4667,12.6333,12.2667,11.9333,11.5667]
x=matrix(12.1 12.2 12.6 12.8 11.9 11.6 11.2, 14 15 18 19 21 12 10)
ema(x,3);
| #0 | #1 |
|---|---|
| 12.30 | 15.666667 |
| 12.55 | 17.333333 |
| 12.225 | 19.166667 |
| 11.9125 | 15.583333 |
| 11.55625 | 12.791667 |
