skew
语法
skew(X, [biased=true])
参数
X 是一个向量、矩阵或表。
biased 是一个布尔值,表示是否为有偏估计。默认值为 true,表示为有偏估计。biased
值为 false ,表示无偏估计。
详情
计算 X 的倾斜度。skew 函数在计算时会忽略 NULL 值。
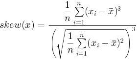
DolphinDB 使用以下公式计算倾斜度:
- 当 biased=true 时,

- 当 biased= false 时
若 X 为矩阵,计算每列的倾斜度,返回一个向量。
若 X 为表,计算每列的倾斜度,返回一个表。
skew 函数也支持校正偏差查询分区表和分布式表。
例子
下面的例子使用了 norm 函数生成数据,每次生成的数据都会有细微差别,因此每次计算的结果会有所偏差。
x=norm(0, 1, 1000000);
skew(x);
返回:-0.00124
x[0]=100;
skew(x);
返回:0.983656
m=matrix(1..10, 1 2 3 4 5 6 7 8 9 100);
m;
返回:
| #0 | #1 |
|---|---|
| 1 | 1 |
| 2 | 2 |
| 3 | 3 |
| 4 | 4 |
| 5 | 5 |
| 6 | 6 |
| 7 | 7 |
| 8 | 8 |
| 9 | 9 |
| 10 | 100 |
skew(m);
返回:[0,2.630083823883674]
