socp
Syntax
socp(f, [G], [h], [l], [q], [A], [b])
Arguments
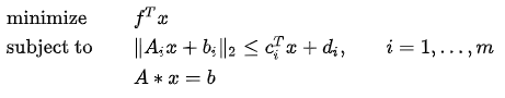
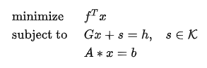
Second-order cone programming (SOCP) problems are subject to the constraint with the following form:
K is a cone and s is a slack variable. The value of s will be determined during optimization.
f is a numeric vector indicating the coefficient vector of the objective function.
G (optional) is a numeric matrix indicating the coefficient matrix of the cone constraint.
h (optional) is a numeric vector indicating the right-hand-side vector of the cone constraint.
l (optional) is an integral scalar indicating the dimension of the non-negative quadrant constraint.
q (optional) is a positive vector indicating the dimension size of each second-order cone constraint. The form is [r0,r1,…,rN-1].
A (optional) is a numeric matrix indicating the coefficient matrix of the equality constraint.
b (optional) is a numeric vector indicating the right-hand-side vector of the equality constraint.
Details
Solve SOCP problems and calculate the minimum of the objective function under specified constraints. The standard form of the SOCP constraint is as follows:
G is as follows:
h is as follows:
Return value: A 3-element tuple:
-
The first element is a string indicating the state of the solution:
-
Problem solved to optimality: optimal solution found;
-
Found certificate of primal infeasibility: no feasible solution to the primal;
-
Found certificate of dual infeasibility: no feasible solution to the dual;
-
Offset exitflag at inaccurate results: inaccurate results;
-
Maximum number of iterations reached: reach the maximum number of iterations;
-
Search direction unreliable: unreliable search direction;
-
Unknown problem in solver: the solver cannot identify the problem.
-
-
The second element is the value of x where the value of the objective function is minimized.
-
The third element is the minimum value of the objective function.
Examples
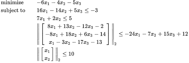
Solve the following SOCP problem:
f = [-6, -4, -5]
G = matrix([[16, 7, 24, -8, 8, -1, 0, -1, 0],
[-14, 2, 7, -13, -18, 3, 0, 0, -1],
[5, 0, -15, 12, -6, 17, 0, 0, 0]])
h = [-3, 5, 12, -2, -14, -13, 10, 0, 0]
l = 2
q = [4,3]
re = socp(f,G,h,l,q, ,)
print(re)
// output > ("Problem solved to optimality",[-9.902804882871327,-1.39084684264198,26.211851780740154],-66.079042235904907)
