ema
Syntax
ema(X, window, warmup=false)
Please see TALib for the parameters and windowing logic.
Arguments
warmup is a Boolean value. The default value is false, indicating that the first (window-1) elements windows return NULL. If set to true, elements in the first (window-1) windows are calculated based on the formula given in the details.
Details
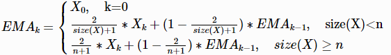
Calculate the Exponential Moving Average (ema) for X in a count-based sliding window of the given length.
The calculation formula is as follows:
warmup=false:
-

-
warmup=true:

where EMAk is the k-th exponential moving average, n is the length of sliding window, Xk is the k-th element of the vector X.
Examples
x=12.1 12.2 12.6 12.8 11.9 11.6 11.2
ema(x,3);
// output
[,,12.3,12.55,12.225,11.9125,11.55625]
x=matrix(12.1 12.2 12.6 12.8 11.9 11.6 11.2, 14 15 18 19 21 12 10)
ema(x,3);
| #0 | #1 |
|---|---|
| 12.30 | 15.666667 |
| 12.55 | 17.333333 |
| 12.225 | 19.166667 |
| 11.9125 | 15.583333 |
| 11.55625 | 12.791667 |
